Με την άμμο στην κλεψύδρα, για την υποβολή των απαραίτητων εγγράφων, να αδειάζει, όσοι διαγωνιστούν για εισαγωγή στις Στρατιωτικές Σχολές στις Πανελλήνιες θα πρέπει να ξαναδιαβάσουν τις αλλαγές στην σχετική προκήρυξη.
Ειδικότερα αναδημοσιεύτηκε η Προκήρυξη για τις Στρατιωτικές Σχολές έτους 2018.Ουσιαστικά είναι η ορθή επανάληψη της προκήρυξης διαγωνισμού επιλογής σπουδαστών για το 1ο έτος των ΑΣΕΙ & ΑΣΣΥ ακαδημαϊκού έτους 2018-2019 ως προς την παράγραφο 11 και το Υπόδειγμα «4». Αυτά αφορούν στη ΒΕΒΑΙΩΣΗ ΛΥΚΕΙΟΥ και πλέον λύνεται το ζήτημα σχετικά με την αναγραφή της διαγωγής των υποψηφίων στη βεβαίωση του Λυκειάρχη.
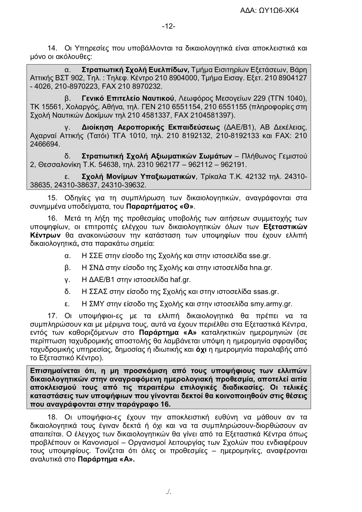
Υπενθυμίζεται ότι η προθεσμία υποβολής των δικαιολογητικών για τους Έλληνες του Εσωτερικού λήγει στις 10 Μαΐου 2018.
Δείτε τα έγγραφα που ακολουθούν για να δείτε την επανεκδοθείσα προκήρυξη και πολλές πληροφορίες για τους υποψήφιους των Στρατιωτικών Σχολών έτους 2018.





























ΠΗΓΗ: panelladikes24